2025 FAI World Drone Soccer Championships
Shanghai,
China
15 Nov
-
18 Nov 2025
Participants
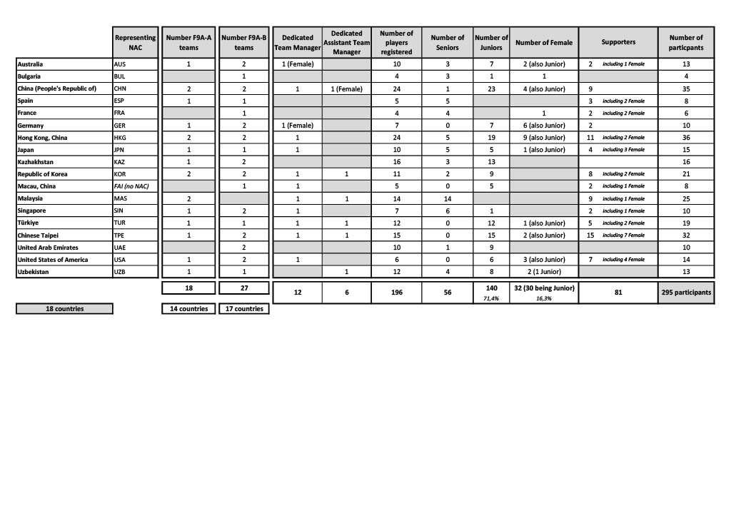
Download the 2025 FAI WDSC Drone Soccer teams list including the players for each team (Excel file)
18 countries in total registered to participate:
- 14 countries for the F9A-A subclass (Drione ball 40 cm) representing 18 drone soccer teams.
- 17 countries for the F9A-B subclass (Drone ball 20 cm) representing 27 drone soccer teams.
297 participants registered:
- 193 players including 138 juniors (71,5 %) , and 33 females (17,1 %) all being juniors except 3
- 12 dedicated team managers and 5 dedicated assistant team managers
- 87 supporters

